


2025年3月30日至4月2日,第51屆歐洲血液與骨髓移植學會年會(EBMT 2025)在意大利佛羅倫薩隆重召開。作為血液學領域極具影響力的國際盛會,本屆大會吸引了全球五千余名專家學者參與,共同探討造血干細胞移植與細胞治療的前沿進展。在本屆大會上,陸道培醫院魏志杰主任的一項針對不同AML亞型患者移植后使用預處理方案的研究(摘要號:P119)入選大會摘要。該研究探索了巴利昔單抗在單倍體造血干細胞移植(haplo-HCT)后第+1天和+4天分次給藥對急性髓系白血病(AML)患者急性移植物抗宿主病(aGVHD)預防的效果,系統分析了該方案在不同AML亞型(M1-M7)中的療效差異,顯著降低了CR-AML患者aGVHD的發生率,為個體化GVHD預防提供新依據。為了深入了解該研究,特邀魏志杰教授對該研究進行了深入介紹,現整理如下。
摘要號:P119
英文標題:Prophylactic Basiliximab on Days +1 and +4 Post-Haplo-HSCT Reduces Incidence of Grade II-IV Acute Graft-Versus-Host Disease in Acute Myeloid Leukemia Patients in Complete Remission中文標題:單倍體造血干細胞移植后第+1天和第+4天預防性使用巴利昔單抗可降低達到完全緩解的AML患者II-IV度aGVHD的發生率第一作者:魏志杰通訊作者:陸佩華
背 景
單倍體造血干細胞移植(haplo-HCT)在高危急性髓系白血病(AML)的治療中應用廣泛。急性移植物抗宿主病(aGVHD)是移植后早期死亡的主要原因。巴利昔單抗(Basiliximab)是一種嵌合單克隆抗體,通過靶向白細胞介素-2受體(IL-2RA)的α鏈(CD25),阻斷IL-2的結合,抑制T細胞活化。盡管巴利昔單抗在激素難治性aGVHD的治療中應用廣泛,但其在移植后的預防性使用,尤其在不同AML亞型中的應用,鮮有報道。
方 法
本研究納入了2016年3月至2023年12月在北京陸道培醫院和河北燕達陸道培醫院接受首次haplo-HCT治療的AML患者。患者移植預處理方案為:以改良的白消安/氟達拉濱(BU/FLU)或白消安/環磷酰胺(BU/CY)+美法侖為基礎的清髓方案;aGVHD的預防方案為環孢素(CSA)+嗎替麥考酚酯(MMF)+短程甲氨蝶呤(sMTX)。試驗組患者在移植后第+1天和第+4天額外接受了20 mg/d的巴利昔單抗,對照組未接受巴利昔單抗。隨訪截止日期為2024年6月1日。
結 果
本研究共納入125例患者,其中試驗組99例,對照組26例。試驗組患者的中位年齡為12歲(范圍1-68歲),其中57例(57.6%)為首次完全緩解(CR1),14例(14.1%)為第二次或以上完全緩解(≥CR2),28例(28.3%)為非緩解或部分緩解(NR/PR)。AML亞型包括M1(5例,5.1%)、M2(33例,33.3%)、M4(21例,21.2%)、M5(28例,28.3%)和M7(12例,12.1%)。中性粒細胞植入率為97.98%(97/99),中位植入時間為14天(范圍9-33天)。血小板植入的中位時間為11天(范圍6-173天)。
對照組患者的中位年齡為33歲(范圍3-54歲),9例(34.6%)為CR1,2例(7.7%)為≥CR2,15例(57.7%)為NR/PR。AML亞型包括M1(0例)、M2(15例,57.7%)、M4(5例,19.2%)、M5(5例,19.2%)和M7(1例,3.9%)。中性粒細胞植入率為88.46%(23/26),中位植入時間為13天(范圍8-25天),血小板植入的中位時間為12天(范圍10-86天)。
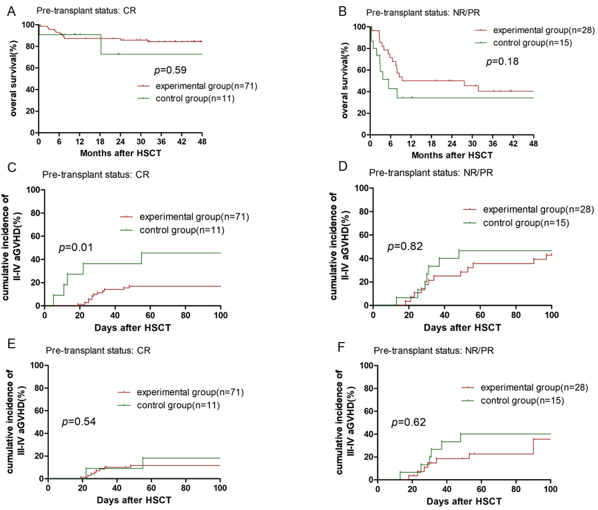
中位隨訪時間為32.6個月(范圍0.2-92.8個月)。CR患者的3年總生存率(OS)在試驗組和對照組之間無顯著差異(84.3% vs. 72.7%, P=0.59);NR/PR患者的3年OS分別為40.4% vs. 34.4%(P=0.18)。100天CMV病毒血癥的發生率為45.5% vs. 31.1%(P=0.09),100天EBV病毒血癥的發生率為8.1% vs. 11.5%(P=0.79)。兩組的累積復發率分別為9.1% vs. 8.1%(P=0.97)(如圖1)。

圖 1. 試驗組和對照組的OS及100天aGVHD發生率對比
在移植前達到CR的患者中,試驗組的100天II-IV級aGVHD發生率顯著低于對照組(16.9% vs. 45.5%,P=0.01)。然而,III-IV級aGVHD的發生率無顯著差異(11.5% vs. 18.2%,P=0.54)。在NR/PR患者中,II-IV級aGVHD(46.4% vs. 46.7%,P=0.82)和III-IV級aGVHD(35.5% vs. 40%,P=0.62)的發生率在兩組之間無顯著差異。
在試驗組中,AML亞型對100天II-IV級aGVHD的發生率有顯著影響(M1、M2、M4、M5和M7),但III-IV級aGVHD的發生率在不同亞型之間無統計學差異(見表1)。
表1. 試驗組中不同AML亞型患者的100天aGVHD發生率

結 論
在haplo-HCT后第+1天和第+4天預防性使用巴利昔單抗安全性良好,可顯著降低CR-AML患者II-IV級aGVHD的發生率,而不會影響長期預后。其療效在不同AML亞型間存在差異,其中M1和M4亞型患者獲益最顯著,而M7亞型的療效最差。這些結果表明,巴利昔單抗的預防策略應根據患者的AML亞型和移植前狀態進行個體化調整。

魏志杰 主任
陸道培醫院造血干細胞移植科
七病區主任、副主任醫師中國抗癌協會廊坊分會會員河北省腫瘤防治聯合會造血干細胞移植專業委員會委員移植工作16年,已完成1000余例移植,最小移植患者年齡9月齡、最大年齡70歲